小诺
百度出身的一名策略产品经理。
做过搜索,BI,画像,个性化推荐。
经历丰富,热爱生活。
hi~大家好!
好久不见,我是你们的老朋友小诺。
今天从我的经历出发,来给大家分享下新闻是如何做个性化推荐的吧~
今天的文章主要分5部分。
前言
一、内容画像
二、用户画像
三、召回和排序
四、推荐策略
前言
又到小长假,今天是假期的第一天。小诺要带女票去欢乐谷玩。
他们一路有说有笑,终于来到了欢乐谷。
女票是第一次来,特别的开心,买了一个小鹿头环,然后拉着小诺四处玩。
在旋转木马,女票让小诺给她拍了好多照片,女票开心极了。
然后两人去了漂流,这是小诺最喜欢的项目之一,他俩被岸上的人用水枪一顿滋,头发湿了,衣服也湿了一片。两个人哈哈大笑。
之后他们来到了大摆锤,女票有点恐高,但却很想玩,小诺说“我陪你啊,我陪着你就不怕了。”女票说好。
两个人把东西放在储物柜,就上去玩,大摆锤一顿操作结束,女票已经花容失色,快哭了。小诺搀着女票,收拾东西,慢慢往外走。
他俩是倒数第二对儿下来的,在他们后面,还有一对儿,女生已经吐了,男生紧张的照顾着。
小诺搀着女票休息了一会,然后两个人来到了大草帽。排队结束,女票身体已经无恙,两个人又开心的玩。
从大草帽离开,女票大叫“啊!我的小挎包不见了!”
小诺说“是你生日我送你的那个包包吗?”女票说“对呀!我一直挎在右边。会不会被人偷了呀!”
小诺安慰女票说“应该不会的,你别着急哈,我想一下。”然后陷入了沉思。
1.我先捋一下我们玩的项目的顺序,旋转木马-漂流-大摆锤-大草帽。
2.旋转木马我给她拍了好多照片,我先看下那时她是否带着小挎包,看了下那时候还有。
3.接下来是漂流,但那时没顾上拍照,要怎么确定挎包在那个时候有没有呢?
小诺看了下女票衣服的右侧,右侧湿了一片,但水渍中间有一片区域是干的。
也就是说漂流的时候小挎包也是在的。
4.然后去的是大摆锤,大摆锤要求把东西都放在储物柜,最后走的时候,只剩下我们和另一对情侣。
刚好我们的东西放在一个格子里,可能那时候我们忘记拿了。
5.我得先给园区说一下,发个寻物广播,然后返回大摆锤问下工作人员。
小诺赶到大摆锤,向工作人员说明情况,工作人员找了一通,确实没有粉色小挎包。
工作人员回想说“刚才那对情侣,女生吐得厉害,男生就拿着东西,好像是有一个粉色小挎包,男生说要带女生去医务室。”
小诺和工作人员道谢,然后看了看时间,距离离开大摆锤已经过了有40分钟。小诺赶紧去园区医务室。
到了医务室,小诺说明情况,医生说确实有一对情侣来过,女生休息了会,喝了点水。男生问女生要不要吃点东西,女生说好,俩人5分钟前刚走。
小诺道谢,心里想,从地图上看,餐厅都在西边,自己一路走来,经过7家可以吃东西的地方。
5分钟前俩人刚走,正常人的步行速度是1m/s,女生不太舒服,走的可能比正常速度要慢。
那么两个人应该是在200-300米以内的餐厅,在这个范围内有2家餐厅。
现在快12点了,应该像医生说的那样他们去了餐厅,所以自己一路走来没有迎面遇到。
那我就从最近的这家开始找。
北京欢乐谷地图
小诺去了最近的这家餐厅,果然看到那对情侣坐在里面,男生旁边还放着那个粉色小挎包。
小诺想:可能女生难受,男生紧张,俩人都没注意拿错了东西。
于是就上前说明情况,女生一看,男生拿的小挎包果然不是自己的,小诺主动说了包内有的东西,核实了身份。
男生和女生连连向小诺道歉,说仓促中拿错了东西。
小诺说没关系,然后打电话叫女票也过来餐厅吃饭,同时告诉园区挎包已经找到。
不一会,女票就来了餐厅,四个年轻人便一起吃饭。
互相介绍了一下,小诺和女票都是产品经理。男生叫小涛,是java开发,女生叫小贾,是运营。
因为都是同行,四个人聊得很投机。
小涛说“小贾刚换了工作,去到一个做新闻资讯的部门做运营,需要懂一些个性化推荐的原理,之前她没接触过,我也没接触过,我们正在发愁。”
小诺的女票说“诺诺就在做新闻的个性化推荐,可以让他说一下呀!”女票眨着大眼睛看着小诺。
小贾说“真的吗?那太好了!”
小诺说“好,我想一下怎么说。”
关于个性化推荐,我的理解是:按照每个人的喜好,在合适的时间,合适的场景,把合适的内容,以合适的形式呈现在用户面前,满足用户的需求。
那么这里就涉及到了三部分,用户——算法和策略——内容。
下图是一个简单的新闻推荐组成部分。
新闻推荐简图
我们的“人”和“物”都是复杂的,需要用我们理解的符号去把他们描绘出来,让我们的程序理解。
一、内容画像
1.1新闻文章来源
做新闻,我们首先要有文章源。文章的来源,一般有三部分:
①机器在各个资讯网站抓来的文章。
②公司编辑自己写的文章。
③入驻作者写的文章。
1.2内容分类体系介绍
有了文章,我们需要把文章分门别类的放在一个内容池子里。
那么该如何分门别类呢?这里就涉及到了内容分类体系。
在我们逛淘宝的时候,会有各种物品的分类,比如家居,比如图书,比如衣服。
同样的,文章也会有分类。当我们打开一个资讯app,比如头条吧,就可以看到导航栏有“军事”“历史”“时政”等等。
京东和头条的前台分类
这是我们在前台可见的,其实在它的背后,有一套庞大的分类体系,下面我们来说一下。
分类体系一般有三种形式:结构化,半结构化,非结构化。
①结构化的分类:层级分明,有父子关系,分类间相互独立,比如科技-互联网-人工智能。
②半结构化的分类:具有结构化的形式,同时也有一些不成体系的分类,我认为知识图谱算是一种半结构化的分类体系。
③非结构化的分类:分类比较灵活,没有明确的父子关系,如独立的关键词标签。
结构化分类体系
知识图谱
1.3常见问题和分类原则
小涛说“看来这个分类就和数据一样呀,数据也有结构化,半结构化和非结构化。”
小诺说“可以这么理解。”
小贾说“那我们该如何建这个分类体系呀?会不会遇到什么问题?”
小诺说“我先来说回答第二个问题,我曾见过一些文章的分类体系,他们存在以下的问题。”
①一级分类=二级分类的情况:如美食,宠物的一级二级分类名称相同。
②二级分类不够全或分的较粗:如历史被分为“古代史,近代史,现代史”。
③一些分类较杂:如“科学探索”分类下可能各种内容都有。
④一些二级分类归属不够合适:在有一级分类“职场”的情况下,“职业培训”被放在了“教育”。
⑤一些文章没有好的归属,如办公软件的学习类文章没有归属。
⑥人工智能分类下的文章有一些是玩偶。
女票说“真的是哎!虽然在新闻的首页我没有遇到,但是在xx新闻的科学探索频道,就看到了各种各样的文章,看来这个分类做不好,真的影响用户体验呀。”
小诺说“对的,所以在做分类的时候我们会遵循一些原则,这里我来说一下结构化分类体系搭建的原则。”
①相互独立:各分类间内涵应当相互独立。
②完全穷尽:各分类应当完全穷尽列举,下一级分类可以组成上一级分类的全集。
③命名应当短小易懂。
④命名应当准确无歧义。
⑤命名具有内容代表性。
⑥分类粒度应当适合,不能较粗或较细。
⑦每个分类下三级分类不能过于庞大。
⑧释义应当相对简单明了,不应长篇大论太过专业。应当从c端用户角度考虑,使标注的人可以一下子理解分类的内涵,而非必须具有专业知识才可分辨,否则不符合用户思维习惯。
1.4构建分类体系
小诺刚说完,凑过来一个男生和一个女生,他们自我介绍是北京邮电大学的应届生,一个叫小豪,一个叫小欣。他们也想做产品经理,听到我们在讲个性化推荐,很感兴趣,就想一起过来听听。
小诺说欢迎,然后继续往下讲。
那么接下来我们该如何去做分类体系呢?有两个思路:
⑴让程序根据站内用户浏览记录,抓取出浏览比较多的一些关键词,我们按照这些关键词去整合分类。
但从实际操作来看,用户的兴趣分层是(一二三级)分类——主题——兴趣点——关键词的层级,举个例子:
科技(一级)——互联网(二级)——人工智能(三级)——智能办公(主题topic)——语音助手(兴趣点poi)——小爱(关键词)。
如果我们根据关键词往上汇合分类,会比较难实施。
⑵人为的定义出一二三级分类。具体操作步骤如下:
①了解每个一级分类内涵,查阅大量相关网站,如搜索历史垂类网站,查看网站内容和分类。
②根据网站分类,逐一列举,从日常用户兴趣角度出发列举三级分类粒度的分类词。
③从三级分类合并二级,以及从二级分类拆分三级分类双向进行整理。
④对分类给出释义和边界,以便标注人员区分。
小涛问“那么我们如何保证三级分类下的文章充足?以及如何保证人工分类的准确性呢?”
小诺说“这是两个好问题。”
我们采取了两个措施:
①针对问题1:我们把三级分类词,如“人工智能”放到研发的文章召回系统,进行搜索,可以看到以“人工智能”为关键词可以召回的文章内容及数量,以此来判断此三级分类是否文章充足,进行调整。
②针对问题2:因为一部分的文章首先要经过标注团队的人工标注,在标注的时候,标注员会反馈具体某个三级分类存在的问题以及不合理性,此环节产品,运营,编辑都会介入,对于不合适的三级分类会进行修改。
1.5人工标注和机器学习
当分类体系完成后,接下来是标注环节。
小贾说“啊!这个我知道的。公司编辑发的文章,在发布前,会选择对应的一二三级分类。
站内作者创作的文章,会经过标注员的标注,标注为的是选择文章对应的分类,也会根据标准标注文章是否涉“黄赌毒”涉“政”等,还会标注文章的时效性。”
小诺说“说得对!这里提一下,运营部也会设置质检小组,对编辑和标注组的标注结果进行抽样检查。”
小欣问“标注员会对所有文章都进行标注吗?”
小诺说“这个我来说一下。”
标注团队标注一定数量的文章,算法团队的工程师会用算法对人工标注的样本,进行有监督的机器学习,把剩余的文章用程序给它标上对应的分类。
负责这部分工作的工程师,会用多种方法来对文章进行机器学习,比如有ABC三种。用三种方法对新的文章样本进行分类。
然后让标注员对算法标分类的文章进行校验,从而得出三种方法为文章分类的准确性,公式如下:标注员分类和机器分类相同的文章数量/总的文章数量=机器标注准确率。
如:87/100=87%。
之后算法工程师会对标注不准确的文章继续进行学习,不停的迭代优化算法。
针对外部抓取的文章,算法工程师也会用这套方法对他们标记分类。到这里,我们的文章就可以分门别类的被放在内容池的不同地方了。
小诺说完后,大家满脸期待,开头的疑问都已经云开雾散。小诺喝了口水。
这时旁边的一对中年夫妻坐了过来,大叔是一名数学教师,平常很爱看新闻,对新闻的推荐也很好奇,听到小诺刚才的讲解,兴趣更甚了,于是便凑了过来。
小诺半喜半忧,喜的是他没想到,有一天会在游乐场给不认识的一群人讲个性化推荐,因为他入门做策略pm经历了无数坎坷。忧的是他们大伙都没接触过个性化推荐,尤其是中年夫妇,如何用大家都懂的语言,来为大家解释,让大家懂基本的原理,而不是纸上谈兵的方法论或是太专业复杂的知识。这是一个问题。
二、用户画像
2.1什么是用户画像
当有了内容的画像,我们也需要用户的画像。那什么是用户画像呢,我认为是对用户这个客观实体的描募。
比如我对自己进行一个总结:男,175cm,65千克,产品经理,26岁,月薪25k,无车……等等。
这就是我的用户画像。
那么为什么做推荐需要用户画像呢?是因为只有当我们了解了一个人,才能把她最想要的给她。
这时小诺看看女票,女票一脸嫌弃,说“净说没用的,快给大家讲用户画像吧~”
用户画像
2.2用户画像要基于业务存在
做用户画像第一步要基于业务,也就是说用户画像是要对具体业务场景来服务的。
比如个性化推荐,精准营销,数据分析,活动运营等等。
所以第一步需要了解业务场景以及各岗位的同事对画像的需求。
2.3搭建用户画像体系
在了解之后,我们会开始搭建画像特征的体系,这里说明一下,特征是一点点获取、建立和利用的。但特征体系在一开始需要搭建出来,尽可能的囊括各业务场景的需要。
虽然某些特征可能在初始阶段还没有建立,但需要根据业务需求,先列举出来,以便在做画像平台功能框架搭建的时候,不会因为没考虑到某类特征,而使后期画像平台的功能框架无法兼容。
以下我从:基本信息,兴趣爱好,行为特征,社交和心理,消费与模型这5个方面做了一个简单的新闻资讯用户画像体系。
一般来说在建立特征体系的时候,应该包含以下表头:一级特征分类,二级特征分类,特征描述,特征字段,特征值类型,特征来源,特征时效,最近更新内容,特征示例。
资讯用户画像体系
2.4画像特征介绍
用户画像主要有两块:事实特征和模型特征。
事实特征是用户的基本信息,以及他在app内产生的行为:如用户的设备信息,地理位置,主动填写的性别,年龄,以及在客户端浏览文章中产生的点击行为等等。
模型特征是我们基于用户的事实特征,制定一些规则建立的:如用户流失等级,用户消费等级,用户满意度等。
从时效性上来划分,画像特征分为长期,短期,实时。
长期特征如:用户基本信息里面的一部分特征,性别,年龄,生日,账号,设备等等。
短期特征如:用户的兴趣爱好和行为特征,当然这里要说明用户的兴趣爱好也分为长期和短期,但这个是相对的,兴趣爱好仍然被我放在短期特征内。
实时特征如:用户的实时地理位置,实时网络状态等等。
大叔说“确实是,我一直爱看时政和军事,最近因为一个事件,开始关注财经了。”
小诺说“是的,这就是区分长期画像和短期画像,长期兴趣和短期兴趣的意义。”
2.5画像特征获取
小欣问“那么画像的特征数据要怎么获取呢?”
小诺接着讲。
①事实特征里的一部分,是我们通过用户主动填写或埋点来获得的,比如用户主动填写的性别,比如埋点获得的用户浏览时长。
②另一部分是根据业务指标来对事实特征进行复合计算,如:用户文章平均阅读时长=用户阅读的总时长/用户阅读的总文章数。
女票问到“如果用户没有填写某些信息,或者我们获取不到怎么办呀?”
小诺说“你真聪明~比如某个用户没有填写性别,这种情况在新用户中较为常见。”
一般我们有两种方式。
①引入第三方数据补全用户画像特征。
②算法工程师会把填写了性别的用户作为样本,按照男女分别进行有监督的机器学习,从而对性别特征不完整的用户进行模型训练,
得出这部分用户的性别,但这里是一个概率值,比如A用户性别:男70%,女30%。
小诺说“说完了事实特征,我们来说模型特征。”
模型特征则需要我们去制定一些规则,为我们的业务场景服务,比如用户流失等级,运营可以针对不同流失等级的用户上不同的运营策略。我们规定:
3天未打开新闻客户端的用户,流失等级为A。
7天未打开新闻客户端的用户,流失等级为B。
15天未打开新闻客户端的用户,流失等级为C。
30天未打开新闻客户端的用户,流失等级为D。
60天未打开新闻客户端的用户,流失等级为E。
90天未打开新闻客户端的用户,流失等级为F(流失了)。
2.6用户画像平台
搭建好用户画像特征体系之后,我们需要有个可视化的平台,用户画像平台。在功能上一般应分为四部分。
①群体画像:我们可以通过特征圈选人群。比如用性别这个特征,分男女去看,不同的用户群体,喜好的文章一级分类有什么区别。
②单用户画像:当我们输入用户的id,可以看到这个用户所有特征的详细信息,同时也需要有个用户画像丰满度的总评分。
③场景赋能:比如我们可以圈选一部分目标用户,对他们进行广告投放,看这批用户后期在每一个环节的转化。
④权限和特征管理:画像平台应当对不同岗位的员工设置不同的权限,同时也需要对用户画像的特征进行管理,支持增删改查的操作。
小诺问“大家对用户画像也都了解了吧?”
大家点头。
小豪期待的说“接下来是不是要讲算法和策略了。”
小诺说“是的,但大家不用担心,主要给大家讲下原理,太深奥的不会讲。”
大家安心的点点头。
三、召回和排序
3.1什么是召回
首先我来解释一下什么是召回,通俗易懂的理解就是,根据用户的一些“条件”把符合这些“条件”的文章从广阔的内容池里召唤出来,放到一个小的池子里。
3.2文章的信息抽取
在召回前我们会做一些准备工作。
第一步是信息的抽取,文章是由html语言编写的,有<title>有<head>有<body>,是成对出现的,都是半结构化的数据。
程序对文章进行信息抽取的时候,也是按照这样的结构,用深度优先遍历,按照栈结构先进后出的特点来抽取的。
深度优先遍历
这里我来说一下,如果是学计算机的同学,在《数据结构》这门课程中会学到。
如下图是一个树结构,我们需要把每个节点都走一遍,“深度优先”顾名思义就是纵向最深,那么我们按照从左到右深度优先的规则,走一遍。
得出的顺序就是:A-B-E-F-C-G-D-H-I。
那么为什么抽取文章信息的时候要用深度优先遍历呢?
就是因为上文提到的文章的结构是有标题有正文,在html语言中代表标题和正文的标识在每个部分的前后出现,相互一层层嵌套,采用深度优先遍历,抽取出的信息结构不会混乱。
树
抽取后,程序需要识别出哪些是正文,哪些是广告,对于我们人来说,可以轻易辨别,但是对于程序而言,需要一些规则去让程序识别出来。
比如我们用投票方法来对文章文本块进行打分。
规定文本块的位置:在页面中间的为3分,在页面左右两端的为1分,在页面底部的为2分。
再比如我们规定文本块的长度:不同的长度给不同的分值。
3.3文章的分词
抽取信息之后,我们要对文章内容进行分词,对于我们人来说,我们可以根据学习经验对文本进行断句,但机器却并不知道。
所以这里我们也有一些方法,下面来介绍3种。
①字典-最大前缀树
首先我们有一个字典集,这个里面包含我们所有的词语,当机器“读”一句话的时候,例如“个性化推荐真好玩”
按照字典里面存在的词语去从左到右进行匹配,“个性”是一个词,做个记录,继续往下。“个性化”又是一个词,再做个记录。“个性化推”不是一个词语,继续向下“个性化推荐”是一个词语。
直到找到最大的词组。
②N-gram分词
这个N代表的就是对这句话用几个字去拆分,比如N=3,原句就会被拆分为“个性化”“性化推”“化推荐”……。
③基于统计学的分词
如贝叶斯,根据语料库的历史信息,分析当一个汉字出现时,另一个汉字出现在它后面的概率,从而进行分词。
字典-最大前缀树
贝叶斯公式
3.4文章的过滤与排重
分词后我们会进行一波过滤:敏感词过滤,低质过滤,排重。
敏感词过滤,会根据既定的一些敏感词列表,把包含这些敏感词的文章过滤掉。
低质过滤,会根据机器学习的历史低质文章算法,加标注人员标注的低质文章,对文章进行过滤。
排重,这里要对相似度较高的文章进行去重。我们来介绍两种方法:
①I-Match算法
假设有A和B两篇文章,分词后,我们首先统计出两篇文章的高频,中频,低频词。
去掉高频和低频词。
比较A和B两篇文章中频词汇表的相似度,卡一个相似度的阈值。
②Shingle算法
假设有A和B两篇文章,A是:我困了晚安我睡了,B是:我累了晚安我睡了。
shingle会把A文章拆分为“我困了,困了晚,了晚安,晚安我,安我睡,我睡了。”。
B文章拆为“我累了,累了晚,了晚安,晚安我,安我睡,我睡了。”
两篇文章的相似度=重复词汇量/(A文词汇量+B文词汇量-重复词汇量)=4/(6+6-4)=50%,卡一个相似度的阈值。
对相似度达到阈值的文章进行过滤,仅留一篇,比如按照发表的先后顺序留,或者按照文章质量的判定留等等。
** **
3.5文章的召回
接下来我们说召回,一般来说,我们会有多路召回,每一路召回的文章都有它的合理性。
①基于人口属性的召回
如根据用户的地理位置召回的文章。
②基于用户兴趣的召回
如根据用户对各分类文章的兴趣程度进行召回。举个例子:
我们选取用户近7天内点击的文章所属的三级分类下的文章,按照当下点击数由高到低的选取30篇文章进入这路召回的集合。
③基于用户行为特征的召回
如根据用户在站内的行为特征来进行召回。举个例子:
我们规定用户对文章有以下行为就代表了用户的行为特征,对某篇文章点赞(1分),评论(2分),转发(3分)。
我们选取出这个用户近7天内,得分最高的5篇文章,所在的三级分类下的30篇新文章,进入这路召回的集合。
④基于协同的召回。
空间向量模型
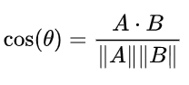
在说协同之前,我们先介绍一个空间向量模型。
我们把每个用户表达成了一个个的标签特征,我们想象每个标签就是一个坐标轴,每个特征的分值,就是这个特征在坐标轴上的长度。
这样我们可以在一个多维坐标轴上,用一个向量来描述一个用户,代表不同用户的两个向量的夹角越小,就表示两个用户越相似。
两篇不同文章的相似度计算也是一样。具体的公式如下:
余弦相似度公式
协同
①基于用户的协同
比如A用户和B用户向量化后很相似,那么我们认为B用户喜欢的东西,A用户也会喜欢,于是我们把B用户喜欢的东西推荐给了A用户。
②基于内容的协同
比如A用户喜欢甲文章,甲乙文章向量化后很相似,那么我们认为乙文章A用户也会喜欢,于是我们把乙文章推荐给了A用户。
③基于整体的协同
比如有ABC三个用户,A用户喜欢甲乙文章,B用户喜欢甲乙丙文章,C用户喜欢甲文章,于是我们认为喜欢甲文章的用户都会喜欢乙文章,于是把乙文章推荐给了C用户。
3.6文章的排序
每路召回形成的是一个基于每个用户的文章集合,我们需要把多路集合作为输入集灌入到我们的排序模型中。
排序模型会通过模型对用户和文章的众多特征,每个特征的权重进行计算。
常用的排序模型有LR(逻辑回归),GBDT(决策树),FM(因子分解机)等以及他们的复合变种。
经过排序之后,对于每个用户,会输出一个新闻的信息流按照排序的规则,由高到低。
小诺说“这一块涉及到了一些技术,大家可能一时掌握不了,但最主要的是理解整个的过程就好。”
大家点点头。
小诺说“那我们来看看有意思的策略吧!”
四、推荐策略
下面我们来说一下重排序,也就是上产品策略的阶段。
4.1常见策略
我接触过的部分策略如下:
①新用户兴趣试探策略
②兴趣打散策略
③本地化推荐
④网络状态推荐
⑤分时段推荐策略
⑥搜索行为策略
⑦负反馈策略
⑧分场景策略
⑨热点事件策略
⑩通勤场景策略
⑪季节性策略
⑫流失召回策略
4.2策略的目标
在工作中,我们都会有一个目标,为一个目标服务。比如新闻的个性化推荐看重,uv点击率,次日留存率,用户的平均阅读时长等。
对于新用户来说,我的理解是要尽快发现他们的兴趣,把他们留下来,然后提升点击。
对于老用户来说,我的理解是要发掘他们更多的兴趣,提升他们的点击和阅读时长,减少流失。
4.3策略案例
这里来分享1个案例:分网络状态推荐策略。
需要说明的是,这里只进行思路简述,实际策略方案会比这个更加严谨和复杂。
4.3.1猜想与调研
猜想
从实际体验出发,当我们在无线网络下,会更肆无忌惮的去点视频图文观看,而在有线环境下会更少一些。
如果用户的行为符合这个猜想,那么在不同的网络状态调整不同类型文章的占比,可以提升用户的点击。
调研
为了验证这个猜想,我们可以做一个竞品调研。比如我们的新闻客户端是A,调研BCD三家新闻客户端在有线和无线状态下,前100条资讯,首页信息流中纯视频的数量(广告除外)
假设我们得到的结果如下图。
我们发现竞品确实也做了这样的策略,那么我们需要做个ABtest来看下效果。
4.3.2实验设计
①网络状态
实验组和对照组按照要求处在不同网络状态下。
②人群划分
圈选20w人群,多维度均匀选取等量分为4组,使4组用户同质。
③变量控制
只有首页信息流视频出现的比例不同这一个变量。
④用户要求
每个组的5w用户,只有当此用户当日有分别在有线和无线网络下浏览新闻的行为,才会被计入统计。
对照组1:5w用户保持线上逻辑,有线和无线网络状态,首页信息流推荐视频比例相等。
对照组2:5w用户保持线上逻辑,有线和无线网络状态,首页信息流推荐视频比例相等。
(说明:AAtest,保证实验组和对照组的变化,不是由于人群包切分或其他因素造成不同。)
实验组1:5w用户在无线网络下推荐视频比例与对照组相同,有线网络状态下首页信息流降低5%比例的视频。
实验组2:5w用户在无线网络下推荐视频比例与对照组相同,有线网络状态下首页信息流降低10%比例的视频。
实验组3:5w用户在无线网络下推荐视频比例与对照组相同,有线网络状态下首页信息流降低15%比例的视频。
4.3.3实验结果评估
①观测指标
各个分组(按日):人均曝光量,人均点击量,人均点击率,人均阅读时长,次日留存率等。
②实验数据观测
亲自体验线上情况,同时观测每个对照组和实验组的数据表现。
③策略复盘
实验设计是否合理,是否引入了其他变量,策略是否在线上生效,数据是否符合预期,用户对此需求的真伪,策略总结。
到这里,小诺终于讲完了,他拿起矿泉水一饮而尽。大家也听的很尽兴。
小涛说“小诺,真是听你一席话,胜读10天书呀!这些都是你在现在的公司做的吗?”
小诺说“实践都是在现在的公司,但那些理论基础是在我出身的公司,它是做搜索引擎的。”
小欣说“这样啊!”
小诺却想起了很多往事,他想起了阳泉一中内那个人的画像,也想起了在科技园学习、交流与吃饭的那些快乐的日子。
他已经离开那里一年多了,还常常想起他的两位经理鼓励他的话。
女票推推小诺,说“又想起那个地方了吗?”
小诺对着女票笑笑,脸上充满阳光和向往“是啊。”
女票说“我们和大家一起吃饭吧~”
小诺说“好啊!”
午饭过后,大家一起在欢乐谷玩了个尽兴。晚上小诺和女票去了xx大厦的法餐厅,两个人一边吃着鹅肝牛排,一边看着楼下的夜景,开心极了。
女票说“三年了,你能做到自己喜欢的方向,真的为你开心。”
小诺说“多亏一直以来你对我的鼓励,做策略我真的很开心。今天的事情我也从来没有想过,有一天我可以在欢乐谷为那么多人讲我喜欢的策略。”
女票说“你是不是又想那个地方了?”
小诺笑笑……
突然,小诺感到有人从后面拍了一下自己,是同事小王。
小王说“快醒醒,还在睡午觉,策略方案出了吗?你看你都流口水了,又梦到妹子了吧?”
小诺两眼惺忪。

发表评论 取消回复